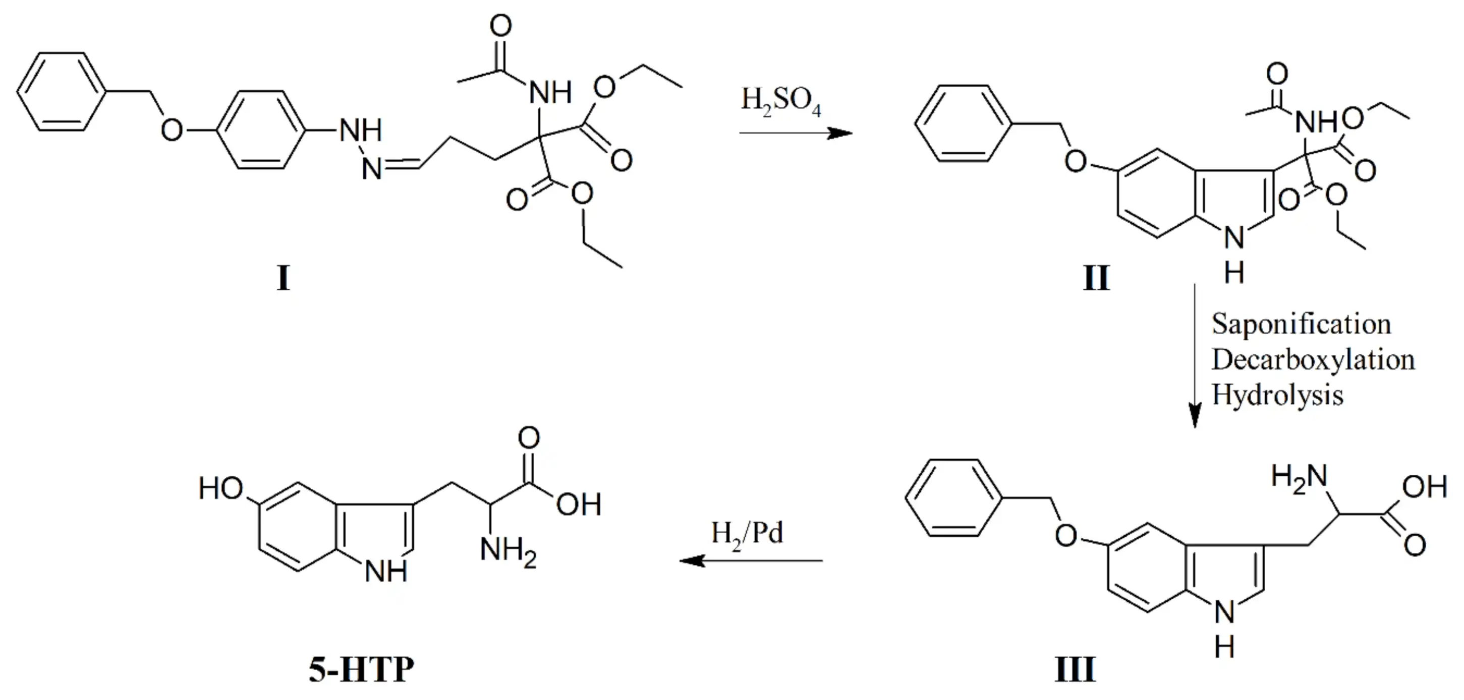
1.What is 5-Hydroxytryptophan powder?
5-Hydroxytryptophan Powder is an amino acid substance. It can be used as a precursor of 5-hydroxytryptamine in the human body (and then as a precursor of melatonin). Some studies have shown that 5-HTP can increase the concentration of serotonin in the brain, improve depression, promote the formation of melatonin, improve sleep quality, and suppress appetite, but these studies still have problems. Therefore, more research is still needed to confirm whether 5-HTP has these physiological effects. Ghana seeds are rich in 5-hydroxytryptophan and are the main natural source of 5-HTP.

2.Effects of 5-Hydroxytryptophan Powder
3.COA of 5-Hydroxytryptophan Powder

4.Application of 5-Hydroxytryptophan powder

5.Stability and Safety
Stability:
Stable under proper conditions(room temperature). Stability Data Sheet is available upon your request.
Safety:
According to GARS(Generally Recognized As Safe) Notice of US, it is safe for human consumption.
6.Packaging and Transportation:
General packaging:
1kg/bag (1kg net weight, 1.1kg gross weight, packed in an aluminum foil bag)
5kg/carton(5kg net weight, 5.3kg gross weight, packed in five aluminum foil bag)
25kg/drum (25kg net weight, 28kg gross weight;)

7.Quality Standards and Certifications
Our product adheres to the highest quality standards and holds numerous certifications, ensuring global recognition and trust:
FDA-Salis HALAL ISO CCRE5 USDA Organic EU Organic

8.Contact US
If you want to buy 5-Hydroxytryptophan powder please contact us for more details iceyqiang@aliyun.com
9.FAQ
Q1: Can i get some samples?
A: Yes, we can supply the free sample, but the shipping cost be paid by our customers.
Q2: How to start orders or make payments?
A: Proforma invoice will be sent first after confirmation of order, enclosed our bank information. Payment by T/T, Escrow(Alibaba).
Q3: How to confirm the Product Quality before placing orders?
A:You can get free samples for some products,you only need to pay the shipping cost or arrange a courier to us and take the
samples. You can send us your product specifications and requests,we will manufacture the products according to your requests.
Q4:What's your MOQ?
A:Our MOQ is 1kg. But usually we accept less quantity such as 100g on the condition that sample charge is 100% paid.
Q5: How about delivery lead time?
A:Delivery lead time: About 3-5 days after payment confirmed. (Chinese holiday not included)